În tot scandalul dintre sindicaliștii instrumentiști de la Filarmonica de Stat Sibiu punctul principal al disputei este semnarea contractului colectiv de muncă. Sindicaliștii s-au plâns că actualul manager Cristian Lupeș îi muncește prea mult și nu respectă orarul de muncă. Cum, la stat, toți angajații au numeroase drepturi și sporuri salariale, am decis să vedem cât sunt în realitate salariile sindicaliștilor. Supriză! Mulți au salarii egale cu ale managerului instituției.
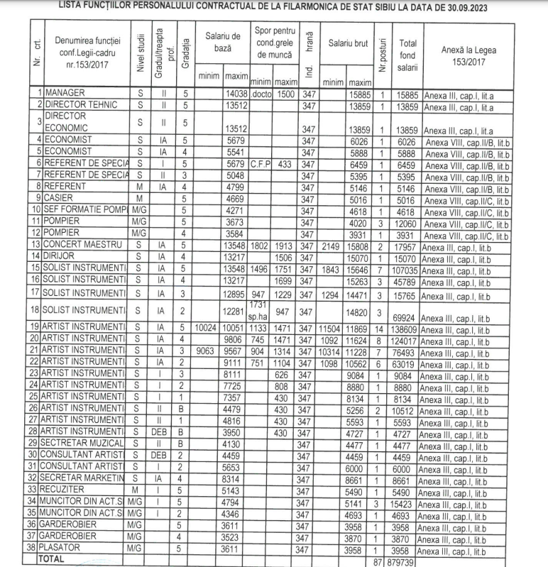
Din start trebuie precizat că managerul are un salariu brut de 15.885 de lei. Legea prevede transparența salarială la instituțiile publice, pe posturi, nu nominal. Salariul brut se taxează și impozitează conform legii.
Dar un concert maestru câștigă 15.808 lei, iar un solist instrumentist 15.646 lei. Ambele categorii cu gradații IA și 5, adică maxime. Totuși și un solist instrumentist cu gradație IA și 2 (adică o mică vechime) ia brut 14.820 lei.
Trecem la categoria artiști instrumentiști. Cei mai bine plătiți din această clasă iau 11.869 lei cu gradația IA și 5, adică vechime mare. La artiștii instrumentiști salariul scade în funcție de gradații până la 4.727 lei un debutant. Adică un artist care a ieșit de curând de pe băncile școlii.






Acelea sunt salariile concertmaestrului și ale soliștilor intrumentiști (cum este cazul violoncelistului Ștefan Cazacu, angajat fără concurs). Nici concertmaestrul, nici acești soliști instrumentiști nu sunt parte din sindicat. Produceți o gravă dezinformare.
Pai tocmai idiotilor ca ati pus grila de salarizare, va contraziceti singuri. pai cum sa zici pe de o parte ca multi sindicalisti au salariul ca managerul, cand se vede clar ca managerul e singurul cu salariul cel mai mare. Voi ziceti ca salariile sunt in functie de vechime si grade si gradatii si tot voi dezinformati. Pai ori sunteti prosti ori sunteti prosti! Jale cu voi:))